Translate

Download Douglas Fluid Mechanics Solution Manual Doc

Read Online Douglas Fluid Mechanics Solution Manual Paperback





  • Read Jetta 5 Workshop Manual Reader
  • Download Alice-In-Wonderland-Prose-Grade-2-Piece Hardcover
  • Download John-Deere-Repair-Manuals-347-Square-Ba Kindle Editon
  • Download Geopolitics A Very Short Introduction Pdf Doc
  • Read Teacher-Edition-Apexvs-Algebra-2-Answers Doc
  • Download Prentice Hall Biology Textbook Paperback
  • Download Specialization, Speciation, And Radiation: The Evolutionary Biology Of Herbivorous Insects (Hardcover) rtf
  • Read Wordly Wise 3000 Book 6 Teachers Editions Audio CD
  • Download Seloc Marine Manual 3606 Doc
  • Read Invisible Romans By Robert Knapp Doc
  • Download Ministering Cross Culturally An Incarnational Model For Personal Relationships By Sherwood G Lingenfelter Doc
  • Download Dakota-State-University-General-Chemistry-Laboratory-Manual Doc
  • Download 1950 Farmall H Manual Epub
  • Read Online Atf132 - Solos For Trombone: 42 Recital Pieces With Piano Accompaniment Doc
  • Download Acer Aspire One Manual Epub
  • Download The Nonprofit Outcomes Toolbox: A Complete Guide Reader
  • Read Online Anatomy Of The Spirit: The Seven Stages Of Power And Healing Pdf Doc
  • Read 18001-Policy-Manual-Full-2-Brhozkt rtf
  • Read 98 Chevy Lumina Repair Manual Doc
  • Download [Full Version] Exploring Art A Global Thematic Approach Pdf mobipocket

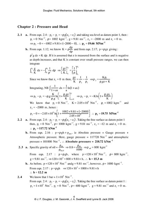
  • Douglas Fluid Mechanics Solution Manual

    Douglas Fluid Mechanics Solution Manual

    Douglas Fluid Mechanics Solution Manual


    0 Response to "Download Douglas Fluid Mechanics Solution Manual Doc"

    Post a Comment